中影人教育播音主持中心

上海戏剧学院校考各专业录取分数线及录取名单已发布

上海戏剧学院

2021年本科各专业录取分数线[艺术类校考专业]
上海戏剧学院

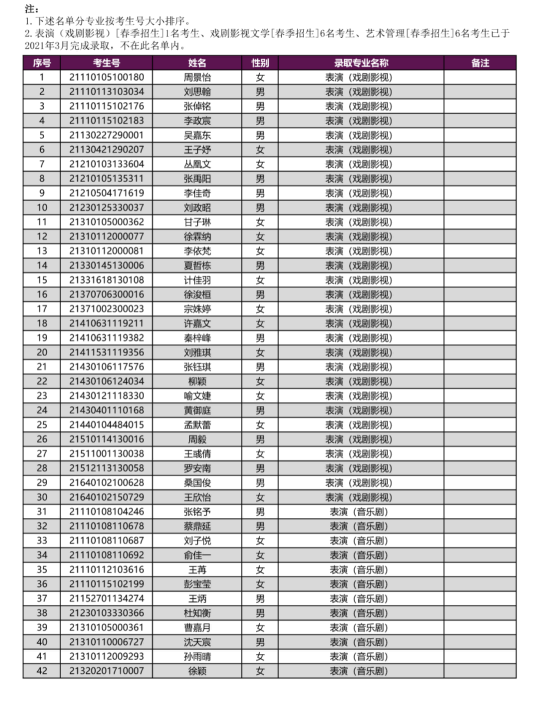
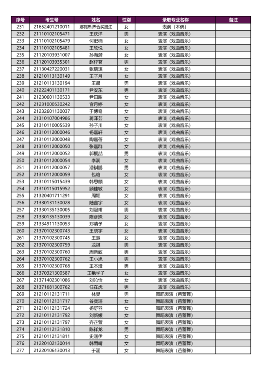
上海戏剧学院2021年本科新生录取名单[艺术类校考专业]

上戏
上戏

上戏
上戏
上戏
上戏上戏

注:

录取通知书预计将于2021年7月20日左右寄出,请注意查收。届时,新生可通过“上戏招生”微信公众号查询快递单号。外籍、华侨及港澳台新生录取通知书寄送及快递单号查询等相关事宜由我校国际交流中心负责。

说明:文章内容来源网络整理仅供参考,如有侵权请联系删除 (QQ:1624823112),万分感谢!